Shake Table Simulation of Liquefaction-induced Lateral Spreading
Shake Table Simulation of Liquefaction-induced Lateral Spreading (Prof. Manzari)
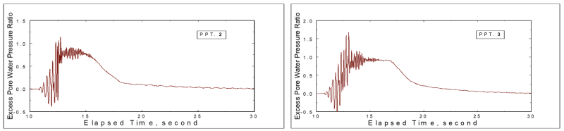
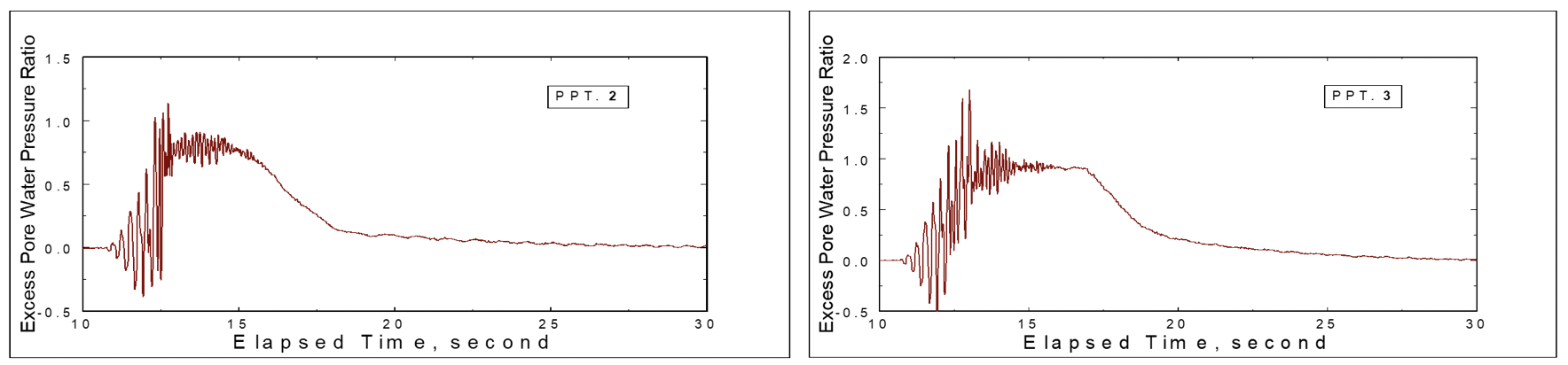
Earthquake-induced liquefaction in saturated granular soils is an important phenomenon which has been under intensive experimental and numerical investigations in the past few decades. While the excess pore pressure buildup and the subsequent liquefaction phenomena are well understood in clean sands and homogeneous saturated soils, the issue of excess pore water pressure migration and distribution in a heterogeneous soils is yet to be fully investigated. In this work, a series of shake table experiments were conducted using the GW six-degree-of-freedom shake table to investigate the response of saturated sand deposits with embedded seams of silt. Three different specimens were prepared and subjected to selected earthquake motions with varying durations. A homogeneous sand specimen was also tested for comparison with the results of the tests on heterogeneous specimens. The base motions were chosen to induce liquefaction almost everywhere in the specimen except near its base. The experiments on heterogeneous specimens showed that during the shaking, excess pore water pressure builds up underneath the seam of silt and creates an upward flow of high gradient, which causes the silt seam to crack. A delayed liquefaction in the upper soil mass is observed to occur following the hydraulic fracturing of the silt seam. The experiments also show the significant role of the duration of shaking on the delayed liquefaction of upper layer.
 
         
               
  